Mettez au point

vous-même

vos enceintes

haut de gamme

V1,2











©

copyright – tous droits réservés

Ce document est la propriété de Gautier Audio, toute reproduction, même partielle, ou partage ne peut se faire qu’avec l’autorisation de l’auteur.












Auteur : Fabrice Gautier Cruette, avec la participation de Théo Elhuyar.

Avant-propos :



Le but de cette méthode est de mettre au point des enceintes qui transmettent la vérité des concerts, et non un son coloré à l’ambiance artificielle. Les musiciens joueront devant vous lorsque votre mise au point sera achevée. Chacun sera à sa place et vous aurez le son des instruments au naturel, pas celui que vous auriez à travers des enceintes personnelles ou de concert.


Elle s’adresse à un public ayant de bonnes connaissances dans le domaine de l’audio et de la mise au point. Si le paragraphe 1 ne vous parle pas trop, c’est que vous devez déjà apprendre les bases de la mise au point avant d’attaquer cette méthode.

Elle ne traite pas de la fabrication de la caisse d’une enceinte, vous pourrez/devrez l’optimiser par vous même aussi.



Ce que permet cette méthode est principalement d’optimiser efficacement et rapidement ce qui n’est pas rattrapable ultérieurement en actif ou autre, c’est à dire : Choisir ses HP pour ne pas perdre son temps avec des HP qui ne seront pas suffisamment « rapides » et correctement amortis selon leur emploi, dont la suspension du spider serait incompatible avec votre boîtier (Qms, Qes, Qts), et un très gros travail sur le calage temporel. Elle n’aborde pas que ces points, mais ce sont surtout ces points où elle vous fera faire des choix stratégiques et prendre des décisions cruciales.

En l’état actuel de la technique, ne comptez pas rattraper les défauts d’un HP « lent » par un filtrage actif, un DSP ou autre, vous comprenez bien qu’un haut parleur qui est déjà incapable de respecter le signal électrique (tous, finalement, mais plus ou moins selon les HP et les fréquences) sera encore plus incapable de rattraper ses propres erreurs alors qu’il est déjà en panique avec le signal original qu’il est censé reproduire.



La méthode ne traite pas non plus de l’insonorisation interne d’une enceinte etc. Pour cela, vous trouverez de nombreuses informations sur le net, c’est le cas sur le site de Dominique Petoin et sur les forums de DIY par exemple.

Cette nouvelle méthode ne remet pas non plus en cause ce que vous savez déjà, elle le complète. Elle utilise pour cela un nouveau signal d’excitation basé sur 5 périodes sinusoïdales, pour chaque note de musique. Vous en comprendrez réellement l’intérêt et tout le potentiel pour le calage temporel et autres réglages à partir du chapitre 11.



Ce signal sera nommé « signal5T » par la suite. C’est un « Sine Burst » pour chaque note de musique de 24,5 Hz à 21096 Hz.



Vous êtes tous invités à poster des commentaires sur les vidéos dans le but d’enrichir cette méthode. Merci de penser aux personnes qui auront besoin de l’essentiel, et rien que l’essentiel, ne postez pas de commentaire si vous ne vous êtes pas bien assuré d’avoir déjà la réponse à votre portée ou les connaissances requises pour poursuivre cette méthode. Les questions dont la réponse est présente avec évidence dans la méthode ne seront pas acceptés. Assurez-vous, donc, d’avoir lu attentivement le chapitre correspondant avant de poser votre question. Si la question est pertinente et peut éclairer les lecteurs, il est très probable qu’elle donne lieu à une mise à jour de la méthode. Si il s’agit d’un ajout d’une notion qui a été volontairement évitée car non essentielle, elle restera en commentaire, sans ajout dans la méthode. La méthode fait déjà presque 60 pages, elle vous donnera déjà pas mal de travail. Vous allez (re)découvrir les notions essentielles par vous même en vous laissant guider, en manipulant, en mesurant, aidé par les exemples et autres aides. Mettre au point vos enceintes doit rester un plaisir, allez-y coolos.

Prenez soin de lire toute la méthode avant de commencer pour ne pas faire une erreur ou un mauvais choix dès le début...dont vous ne vous apercevriez qu’au bout d’une semaine, voire plus.









Annexe 1 : Méthode permettant de faire des mesures acoustiques SANS chambre anéchoïque et simulant un mur frontal et accessoirement des murs latéraux, le sol, le plafond et différents absorbants pour un local.



Annexe 2 : Pseudo-filtres passifs adaptés.




Annexe 3 : Fabrication de grand Bass-Trap par assemblage.





Annexe 4 : Corrélation des mesures entre HP « Lent » et HP « rapide ».



Annexe 5 : Signal carré sans les harmoniques inaudibles





  1. Présentation de la méthode

Vous pouvez regarder la vidéo de présentation de la méthode sur Youtube, elle s’intitule « Méthode rapide de mise au point des enceintes audio ». Pas encore disponible



Le chemin entre le studio d’enregistrement ou le concert live et vous :




La fonction de transfert du concert à vos oreilles doit être de 1 (en ne prenant pas en compte que la référence de temps n’est pas la même car vous n’écoutez pas chez vous au même instant que le concert ou l’enregistrement).



Cela signifie qu’il ne devrait pas y avoir de différence entre les sons et leurs directions, que vos oreilles soient au concert ou chez vous, pour toutes les musiques.

Obtenir une fonction de transfert de 1 est utopique, l’oreille humaine est un outil d’analyse extrêmement performant et précis donc elle ne vous fera pas de cadeau, mais vous pourrez vous approcher sérieusement de 1, à condition que les enregistrements soient correctement effectués.



Voici les 3 grandes étapes pour la mise au point d’une enceinte :



1  : Vous devrez d’abord choisir vos HP, en ayant déjà en tête les grandes lignes de votre design et de ses contraintes, telles que les dimensions du volume interne, le nombre de voies, les technologies.

2 : Vous installerez les HP dans leur coffret et établirez un premier filtrage en fonction des résultats obtenus avec vos HP mesurés. Prévoyez dès maintenant un recul du tweeter par rapport au médium. Vous devrez certainement ajuster et ré-ajuster le recul pour un bon calage temporel.

3: Vous prendrez en compte votre local d’écoute, que vous améliorerez si nécessaire, vous placerez correctement vos enceintes et le point d’écoute, puis vous ajusterez vos réglages à l’écoute. Si il n’y a pas d’autre possibilité, vous corrigerez votre pièce activement en jouant sur le signal audio ou le filtrage.



Des petites phrases et des conseils dans le désordre, pour vous mettre dans l’ambiance. Certaines sont de moi, d’autres non :



  • «  Pour accéder à la HiFi, il y a des compromis à faire, et il y a des incontournables »

  • « Chantier bien préparé = chantier à moitié terminé ». Si la base de votre enceinte et le choix des HP est bien fait, la mise au point sera bien plus facile, vous aurez moins de compromis à faire.

  • « 20 fois sur le métier remettez votre ouvrage »

  • « Un bon médium et un grave + un aigu juste corrects donnera une meilleur écoute qu’un bon grave et des bons aigus avec un médium juste correct. » Tout simplement car le médium est une partie très très importante du spectre sonore. C’est la partie la plus délicate, mais c’est aussi la zone ou se situe un maximum de localisation, d’image sonore, de vérité et qui fait que les musiciens sont là ou pas là. Prêtez-y la plus grande attention.

  • « Un défaut dont l’action est répartie et régulière sur une grande plage de fréquence est un bien moindre défaut » (valable pour les renforts et vibrations de caisse, pour les effets de bord etc)

  • Fixez-vous un objectif : les musiciens devant vous, sans avoir à pousser le volume. Ne vous contentez pas d’un semblant d’ambiance, ou d’une image sonore artificielle et aléatoire sur les différents morceaux, ou d’une « ambiance » due à un niveau sonore élevé. N’ayez pas peur de viser haut, les résultats seront à la hauteur du travail fourni, plus de que des moyens financiers engagés. La mise au point à l’écoute se conclura avec les avis des copains. Les yeux fermés par exemple, tout doit passer, doit être évident et naturel. Le cerveau ne doit pas faire appel à un quelconque effort de « traduction » d’un signal erroné qu’il essaierait de retranscrire dans une réalité qu’il connaît.

  • Dans une pièce < 20m², deux enceintes 2 voies avec HP Davis 13KLV saladier alu et spider aéré par exemple et des bons tweeter font parfaitement l’affaire. D’autres fabricants en proposent, attention, mais certains ont trop épais de résine pour le maintien du kevlar. Si vous sentez que c’est un peu limite sur certains concerts, doublez les woofer en configuration d’Appolito par exemple, ou passez en 3 voies.

  • La musique est autant une affaire de transitoires que de régime établi donc vous travaillerez autant dans le domaine temporel que dans le domaine fréquentiel.

  • Un bon filtrage passif peut être meilleur qu’un filtrage actif. La précision de calcul et des coefficients des biquad (ce sont des filtres numériques d’ordre 2, pour schématiser, que le programme « assemble » pour atteindre l’objectif de filtrage) peut induire de la distorsion, si toute la plage dynamique de valeur n’est pas utilisée. Choisissez donc bien votre DSP et utilisez au maximum sa dynamique. Un exemple de filtrage actif et de ses distorsions sur un amplificateur FDA 1er prix. Les distorsions dues au filtrage sont flagrantes : https://youtu.be/95m4445sMmg

  • Méfiez vous des recettes miracle. Dites-vous qu’il peut très bien y avoir un effet indésirable ailleurs. Un exemple hors audio pour illustrer : il se vend des pilules pour stimuler la pousse des cheveux. La pharmacienne, très gentille, aura oublié de vous dire que ces pilules ne ciblent pas « que » le cuir chevelu, et que la pousse des poils est elle aussi stimulée, sur tout le corps ! Alors, ayez un esprit critique et vérifiez toujours ce que ça apporte mais aussi ce que ça fait perdre par ailleurs. Les produits « miracles » existent pour à peu près tout, l’audio serait épargnée ?

  • Résoudre un problème simple (une panne simple par exemple), c’est facile. Résoudre un problème ou une panne double, c’est déjà bien plus difficile. Résoudre un problème ou une panne triple, bonjour le casse-tête ! Il en est de même pour vos mises au point. Vous ne pouvez pas tout résoudre en une fois, il faut avancer étape par étape, connaître des comportements de chaque élément pour qu’ils ne soient plus des inconnues pour la suite de la mise au point. Comme ça vous pourrez ajouter et peaufiner un nouveau (ou 2) paramètre(s), et ainsi de suite jusqu’à la fin de la mise au point. C’est un peu simplifié comme approche, mais c’est l’idée générale de l’avancée de cette méthode.

  • Les mesures au point d’écoute se font avec le mobilier en place. Les tapis et rideaux fonctionnent bien comme amortissant pour les hautes fréquences, mais n’ont aucun effet dans les basses fréquences. Pour cela, utilisez des Bass-Trap de grandes dimensions (voir ANNEXE 3) si les fréquences sont très basses. Privilégiez un fauteuil ou canapé qui ne remonte pas jusqu’à la tête et choisissez-le en tissu, et non en cuir naturel ou synthétique. Ces 2 derniers se comportent comme une matière totalement dure et réfléchissante dans les hautes fréquences.

  • Si vous voulez cerner sans connaissances particulières les différences entre ce qui se passe pour votre grave et ce qui se passe pour les aigus dans votre pièce, vous pouvez considérer les aigus comme un jet d’eau ou un faisceau lumineux au niveau de la propagation. Plus vous descendez en fréquence, plus le faisceau s’ouvre. Imaginez les réflexions ainsi. Pour le grave, considérez que c’est un gaz qui se disperse partout, même à travers une porte ouverte, un couloir, une mezzanine. Imaginez où il va se propager et quel volume il doit remplir. Vous avez ainsi une idée du volume en m3 à sonoriser dans le grave pour dimensionner votre système.



Avec cette méthode, vous mettez rapidement « les mains dans le cambouis », vous ne passez pas par l’étape simulation totale et la quantité de mesures préalables qu’elle implique. Vous travaillez directement sur votre ébauche d’enceinte, que vous optimisez au fur et à mesure. Vous mesurez du réel, améliorez du réel, et voyez immédiatement ce qui va, ce qui ne va pas, ce qui apporte un bénéfice ou au contraire ce dont il vaut mieux s’éloigner. Beaucoup de paramètres, dans les formes par exemple, influent positivement sur un critère, mais aussi négativement sur un autre auquel vous n’auriez pas prêté attention. Là, tout va se voir…

Gardez vos notes avec vos dates, utilisez des répertoires et des noms de fichiers avec des titres parlants et clairs, car vous allez en faire un bon nombre, des mesures et des printsceen...

C’est bon, vous êtes motivé(e), vous voulez compléter vos connaissances et avoir les musiciens devant Vous, pour Vous ? Alors voici la table des matières :



  1. Rappel des différentes mesures sur un système audio et ce qu’on peut en tirer.

  1. La mesure de la réponse impulsionnelle.

En théorie, on peut déduire toutes les caractéristiques d’un système depuis sa réponse impulsionnelle. Encore faut-il que le pas d’échantillonnage soit très faible et la résolution en amplitude sur un nombre suffisant de bits. Une réponse impulsionnelle peut résumer aussi tous les éléments d’une fonction de transfert, comme celle d’un filtre à réponse impulsionnelle finie par exemple, ou même d’une enceinte ramenée à un système linéaire invariant (SLI), une approximation donc. Le produit de convolution dans le domaine temporel, avec le signal d’entrée donne directement le signal de sortie, que ce soit en régime discret ou continu. Par exemple, le logiciel Arta enregistre la réponse impulsionnelle pour sauvegarder votre mesure, et non le signal mesuré.

Donc si vous voulez déduire de nombreux éléments depuis une réponse impulsionnelle, il faudra utiliser du zoom et ça sera à la sueur de votre front. Un ordinateur l’utilisera comme base de son calcul, en temps réel, mais pas vous. Donc les éléments essentiels qui sautent aux yeux sans avoir mal à la tête sont :

  • Les éléments sont-ils en phase et arrivent-ils au micro tous en même temps ?

  • Est-ce que l’ensemble de la bande passante reproduite sur une impulsion (généralement pas tout, à 100%) arrive dans un même sens ? Autrement dit, a-t-on un début d’impulsion mesurée dans un sens et la suite dans l’autre sens ?

  • L’amortissement est-il rapide après l’impulsion, l’impulsion mesurée est-elle courte? Le retour négatif est-il important ? Est-il court ? Présente-t-il des oscillations ?

Inconvénients :

On peut avoir un semblant de bonne réponse impulsionnelle avec une enceinte qui ne passe pas de graves ni d’aigus puisque seuls les sons émis apparaissent !

Et inversement, une enceinte qui passe bien des aigus, mais qui ne sont pas totalement en phase ou possèdent une distorsion ou irrégularité de niveau au dessus de 15khz peut avoir une réponse impulsionnelle avec des oscillations visibles alors que l’enceinte est très correcte à l’écoute.

Il faut avoir analysé plusieurs systèmes pour savoir comment faire une corrélation entre les écoutes et les réponses impulsionnelles et les interpréter de manière avancée. Faire attention à l’échelle de temps.



Vous pouvez faire une mesure de réponse impulsionnelle calculée sur un bruit blanc, et une autre calculée sur un frequency sweep. Vous comparez les 2. La première vous donne une idée du comportement sur les transitoires et la 2ème sur le comportemen ten régime établi. Les 2 devraient être parfaites… Voir annexe

Il y a d’autres outils de synthèse, comme :

  1. La réponse à un échelon.

On peut en tirer à peu près les mêmes infos que la réponse impulsionnelle, mais on a aussi des informations sur le grave. Si le démarrage est franc, sans grande oscillation, que le signal se maintient longtemps en baissant régulièrement, sans trop repartir en négatif, c’est bon signe.

  1. La réponse en fréquence.

Tout le monde la connaît, ce n’est pas la plus essentielle à mes yeux, et ça sera même un des derniers points à régler lors du filtrage et de l’écoute. . . avant de remettre l’ouvrage sur le métier encore une fois, car modifier le filtrage modifie les phases, donc modifie tout en quelque sorte.

Il faut évidemment viser la réponse plate en champ proche dans un 1er temps, mais pas forcément une réponse sur une courbe cible au point d’écoute sans accroc dans le grave. On en reparlera plus tard.



Vous pouvez faire une mesure calculée sur un bruit blanc, et une autre calculée sur un frequency sweep. Vous comparez les 2. La première vous donne une idée du comportement sur les transitoires et la 2ème sur le comportemen ten régime établi. Logiquement, les 2 courbes des 2 types de mesure devraient être proches et linéaires en champ proche du bas médium à l’aigu. Dans la réalité, il en est autrement, car les transducteurs ne sont pas aussi « rapides » pour l’ensemble des fréquences, ça sera l’objet d’une grande partie de cette méthode.

  1. Le waterfall (CSD pour cumulative spectral decay)

Avec le Waterfall (ou en affichage en ondelettes), vous avez une idée de l’amortissement de l’enceinte, et de l’arrêt de la membrane en fonction de la fréquence.

Inconvénient : vous ne pouvez pas visualiser précisément sur un même graphe l’amortissement dans les graves et dans les aigus car une période à 20Hz fait 0,05s tandis qu’une période à 20kHz fait 0,00005s

Heureusement que l’amortissement à 20kHz ne se fait pas sur la même échelle visible de durée qu’à 20Hz car cela signifierait qu’il y a 1000 fois plus de périodes qu’à 20Hz.

Heureusement, il y a :

  1. Le Burst decay (BD)

Le principe est le même que précédemment, à part que l’échelle n’est pas en temps mais en nombre de périodes. Tout est donc rapporté à un même niveau d’importance.

Inconvénient, Les logiciels donnent des réponses imprécises, qui ne reflètent pas la réalité de ce qu’on trouve sur signal5T. Il est vrai que ça ne doit pas être facile pour un logiciel d’extirper un amortissement à -30dB pour l’ensemble de la plage de fréquence quand on voit la faible durée du signal de stimulation de la mesure. De plus, comment savoir d’après le graphe quand vous avez un résidu à 5kHz au bout de 3 périodes si il est le résultat d’un reste dont la fondamentale est à 5kHz ou si c’est le reste d’une harmonique d’un signal à 2,5kHz. Privilégier l’affichage avec une précision temporelle plutôt que fréquentielle.

  1. La distorsion

C’est très important d’avoir des harmoniques H3 les plus faibles possibles. Elles peuvent être dues à l’électronique, à des vibrations, aux composants, à un pavillon pas au point etc. H2 et H4 sont moins gênantes. Plus on monte en fréquence, plus une distorsion, même faible, devient audible. Dans de faibles proportions, c’est l’image sonore qui se trouve détériorée, et dans le cas d’une plus grande distorsion, le son est tout simplement mauvais à l’écoute. Je ne parle pas des amplis à tubes, ce n’est pas mon truc. Mon objectif est la fidélité, et non la coloration.




Il y a encore d’autres moyens de synthétiser le comportement d’un système, mais ils sont moins répandus, de toute manière :



  1. Il est temps de trouver un nouveau type de mesure, de signal d’excitation

Il faut un nouveau type de signal d’excitation afin de remédier aux inconvénients des précédents. Ceci permettra de mieux cerner les caractéristiques d’une enceinte ou d’un système pour optimiser sa mise au point, et aussi de représenter ce qu’elle vaut réellement à l’écoute. Les graphes précédents sont soit dans le domaine temporel, soit dans le domaine fréquentiel, ou les 2 pour CSD et BD. Le nouveau signal5T d’excitation permet de travailler dans le domaine temporel...pour chaque fréquence.







  1. Sensibilisation à la nécessité d’une bonne mise au point :

  1. Décomposition d’une note de piano selon 2 voies.

Une note de piano, même filtré en 2 voies, est composée de transitoires et de régime semi établi.


Même en décomposant le signal en 2 plages de fréquences pour 2 HP on remarque que chaque HP n’a pas à passer que des sinusoïdes. Pourtant, c’est juste une note de piano seule. Il y a aussi des transitoires qui font que les sinusoïdes sont déformées de manière variable.

Sur un piano, il n’y a pas qu’une seule fondamentale et ses harmoniques. En effet, l’impact du marteau va créer plusieurs fondamentales qui s’estompent plus vite que la raisonance des cordes (plusieurs cordes par touche) en créera aussi. Ce n’est pas pour rien que le piano est très difficile à reproduire avec précison en HiFI. Une seule touche de piano ne peut pas se résumer à une fondamentale et des harmoniques, d’où la forme non périodique du signal ci-dessus, autant en dessous de 2kHz qu’au dessus.

  1. Nécessité d’une bonne mise en phase.

Pour vous sensibiliser à une bonne mise en phase des haut-parleurs, la petite application ci-après fonctionne sur smartphone, tablette, PC. Jouez avec les curseurs et vous comprendrez on je veux en venir.

Nous envoyons 1 signal de 5 périodes aux environs de la fréquence du crossover entre 2 haut-parleurs. Chaque haut parleur possède une phase différente par rapport au signal électrique. Vous pouvez tester différentes valeurs de déphasage pour chaque HP. Le niveau de chaque HP est réglable lui aussi. Ainsi, vous pouvez simuler de nombreux cas de figure : un peu en dessous de la fréquence de coupure, un peu au dessus, etc.



Que se passe-t-il par rapport au signal électrique ?

Le décalage temporel entre les 2 HP peut être dû à un déphasage lié au filtrage ou à un temps de vol différent entre le centre émissif du tweeter et celui du woofer (des distances différentes).

Le temps de vol est donc indirectement représenté. Vous le comprendrez, si ce n’est pas déjà le cas, qu’il sera votre allié.




Cliquer sur l'image pour l'application 1 : Que se passe t-il à la fréquence de coupure entre 2 HP si tout n'est pas en ordre ?



Sur cette application, vous avez travaillé avec des haut-parleurs idéaux, dans une configuration qui permet un résultat idéal de la réponse de chaque transducteur. Ces HP n’existent pas, une autre application vous fera comprendre tout à l’heure quels sont réellement vos HP électrodynbamiques.

Ceci ne nous empêche pas de continuer la méthode, puisqu’il va falloir faire des compromis. . .



Que penser d’un HP coaxial dont la membrane sert de pavillon au tweeter, et dont la position, donc le recul varie en fonction des fréquences plus basses ? J’aimerais bien mesurer la distorsion en superposant un signal à 100Hz et en mesurant la distorsion des fréquences du tweeter, ça doit être fun !

  1. Un nouveau signal d’excitation pour les mesures et l’analyse.



L’application précédente fonctionne pour une fréquence donnée. Il est évident que votre enceinte doit fonctionner le mieux possible pour l’ensemble des fréquences, de 20Hz à 20kHz. La variable « fréquence » est continue. Nous avons choisi de l’utiliser de manière « discrète » avec un pas multiplicatif correspondant à celui qui existe entre chaque note de musique.

La base qui a été retenue est celle de la musique en 440 Hz. Il fallait bien fixer un choix arbitraire. Vous pouvez refaire votre signal avec un pas inférieur, ou supérieur et sur la base d’une autre fréquence, cela ne changera rien à la technique.

Sur un seul fichier audio, vous avez un train de 5 périodes pour chaque fréquence de note de musique. Il y a donc 118 trains de 5 périodes dans le signal, de 24,5 Hz à 21096 Hz.

Choisir un pas de est un choix qui permet d’obtenir toutes les informations nécessaires, ni plus, ni moins, tout en ayant un fichier de mesure d’environ 1 minute. Ce temps de mesure pourrait être un peu réduit si on diminuait le temps entre 2 trains de 5 périodes dans les aigus, à vous de voir si 1 minute, c’est trop long pour vous...

Avec l’expérience, vous saurez tout de suite là où il faut aller regarder dans l’enregistrement de mesure, d’un simple coup d’œil à l’allure générale de l’ensemble de la mesure , si vous connaissez un peu votre système.



Vidéo Youtube animée du fichier audio à envoyer à vos enceintes






Fichier HiRes signal5T à télécharger, c’est le fichier audio que vous allez envoyer à vos enceintes pour en mesurer la restitution sur l’ensemble de la plage audible. Ouvrez-le avec Audacity pour voir comment il est constitué. Utilisez l’analyseur de spectre d’Audacity pour voir où sont quelles fréquences. Des outils pratiques vous seront communiqués dans la suite du document.



  1. Matériel conseillé



Pour faire les mesures dans de bonnes conditions, il va vous falloir le matériel décrit ci-après, avec 2 grandes options possibles.



Pour dégrossir vos mesures et savoir ce que chaque plage de fréquence de chaque haut-parleur donne comme caractéristiques, il faudra les mesurer indépendamment. En gardant à l’esprit qu’un haut parleur peut en influencer un autre, et donc qu’il vaut mieux court-circuiter un boomer d’une enceinte (ce qui le bloque) si on teste le caisson de grave qui est posé juste à côté si on cherche des mesures très précises.



Configuration avec 1 seul amplificateur, en switchant d’un haut-parleur à l’autre.



Configuration avec plusieurs amplificateurs.

Indispensable

- PC

- Carte son, la Tascam US-1x2HR est très bien. Elle est fabriquée par Teac.

- DCX ou DSP / ou équivalent par ordinateur et au moins 4 sorties sur la carte son (carte 5.1 etc) dans ce dernier cas.

- Bon, voire très bon Amplificateur(s), si possible avec le « -» des sorties HP relié à la terre. Dans la technologie qui sera retenue. Un amplificateur Full Digital est assez peu sensible aux variations d’impédance de charge, même sans contre réaction grâce à leur impédance de sortie faible.

- Convertisseur USB/PCM optique ou coax ou XLR (si pas d’ampli avec USB C). Le boîtier sur base de Xmos de Audiophonics, maintenant revendu depuis la chine est un bon produit. Il possède 3 sorties numériques : XLR, Optique et RCA.

- Micro de mesure (condensateur avec alim fantôme 48V) + pied de micro + câble XLR

- Logiciel de mesure (ex : Arta, REW, Clio)

- Logiciel Audacity ou autre permettant de visualiser directement le signal

- Un mètre enrouleur

- Mousses acoustique à pores ouverts de différentes catégories pour isoler les coffrets et pour les mesures en extérieur

- Un pré ou un jardin si possible et une grande rallonge, chez vous, chez un ami etc.

- Un local suffisamment amorti (tapis, et au minimum 10 % de la surface des murs amortis stratégiquement).

- Toute la connectique appropriée (XLR, USB, RCA, optique etc)

- Petit montage pour faire des mesures d’impédance avec Limp par exemple avec diviseurs de tension. Vous trouverez les schémas sur internet facilement.

Bonus et sites intéressants :

- Casque antibruit, ou casque audio fermé circum-auriculaire.

- Site Tone generator (pour voir les fréquences de résonances) + dB mètre

- Site RF tools (calcul de filtres passifs), juste pour dégrossir, il ne faut pas perdre trop de temps avec des simulations de toute manière. Vous pouvez zoomer et utiliser le curseur sur les courbes.

- Composants électroniques pour filtre passif. Capacimètre + Inductance-mètre si on veut débobiner ou réaliser ses selfs et avoir les valeurs rapidement. Sinon, une mesure d’impédance avec Limp, ça fonctionne bien aussi en analysant la courbe. Z = j L ꙍ pour une self et Z = 1/( j C ꙍ) pour un condensateur.

- Casque ou écouteurs (avec adaptateur jack) pour mieux discerner et discriminer les résonances de la pièce, avoir un point de référence.

- Amplificateur full digital Lyngdorf, un achat que vous ne regretterez pas si vous le programmez manuellement. Le DSP d’égalisation est agréable à utiliser, c’est donc du tout en un. La puissance du TDAI-1120 est limitée mais juste suffisante pour des enceintes de rendement de 90dB/1W/1m dans une pièce de 20m². Pour autant que les musiciens soient là, car si la qualité n’est pas là, on pousse le volume pour faire un semblant de présence. Ce n’est absolument pas le but recherché de cette méthode. Le but n’est pas de faire du bruit, mais la musique comme au concert.





  1. Prérequis et rappels :



Allez, quelques petits rappels, ça ne fait de mal à personne, ça serait dommage de vous perdre à cause d’un quiproquos.

Prérequis : Il est nécessaire de connaître les points suivants :
- Utilisation d’une carte son et ses différentes possibilités et défauts.
- Réglages et utilisation d’un DSP, ou Rephase + foobar par exemple.
- Savoir configurer sa carte son en 96kHz sortie mini et 192kHz en entrée
- Utilisation d’un logiciel de mesure.
- Utilisation d’un micro de mesure.

Rappels :

  1. Fréquence et longueur d’onde :

La relation entre fréquence et longueur d’onde peut s’exprimer de la façon suivante :
λ = c/f avec λ la longueur d’onde.

La vitesse du son, « c » comme célérité, dépend un peu de la pression atmosphérique, etc, mais pas de la fréquence. On peut utiliser c = 340 m.s-1

C’est l’atténuation en fonction de la distance, en champ libre qui est plus forte pour les aigus, et non pas la vitesse de propagation du son.



A chaque fréquence (en audio, en mécanique, optique etc) correspond une longueur d’onde et une période. Tout ceci est accessible d’un simple coup d’œil sur le graphique page suivante. Imprimez-le et affichez-le devant vous car il vous servira très souvent. Les échelles d’abscisse et d’ordonnée sont logarithmiques.







  1. Rappels sur les dB :

dB et Puissance :

Un gain en puissance d’un signal s’exprime de la façon suivante :
Gain dB = 10 x log (P_sortie/P_entrée).
Ainsi, un rapport de ½ donne -3dB.

dB et Niveau :

Gain dB : 20 x log (Niveau sortie/Niveau entrée)
Un rapport de 1/2 donne -6dB

Une atténuation linéaire en niveau est convertie en atténuation log par :
Gain dB = 20 x log (Rapport d’atténuation)

Inversement, une atténuation log est convertie en atténuation linéaire par :
Atténuation linéaire =

Valeurs remarquables en niveau:

1% = 0.01

20 x log (0.01) = -40dB d’où 1 % en niveau = -40dB

2% = 0.02

20 x log (0.02) = -34dB d’où 2 % en niveau = -34dB

50% = 0.5

20 x log (0.5) = -6dB d’où 50 % en niveau = -6dB



On retrouve bien 2 % x 50 % = 1 % et aussi -34db – 6dB = -40dB





Une atténuation de -50dB = = = = 0.00316

Donc -50 dB de niveau correspond à un niveau de 1/0,00316 soit 333 fois moins fort

Pour obtenir en %, on fait x 100 car « % » veut dire « /100 » ce qui nous donne -50dB = 0.316 %



Un raisonnement similaire peut être fait pour les puissances.



Vérification entre Puissance et niveau :

Comme en théorie la puissance varie avec le carré du niveau : si on a -6dB en niveau, on aura aussi -6db en puissance car 20 log(1/2) = 10 log ((1/2)²) = -6dB



Tout ceci est cohérent.

  1. Impédance d’un condensateur et d’une inductance en régime sinusoïdal

Si vous n’êtes pas familiarisé avec les composants passifs, imaginez qu’ils se comportent comme suit :

- plus la fréquence augmente, plus il se comportera comme dans la case f →

- Plus la fréquence diminue, plus il se comportera comme dans la case f → 0








ꙍ est la pulsation (vitesse angulaire) en rad/s et f est la fréquence en Hz , on a ꙍ = 2 x π x f = 2 x π / T



On a aussi ꙍ = 2 x π / T avec T la période en secondes

  1. Filtrage, déphasage et groupe délay.

Plus un filtre passif ou actif FIR est d’ordre élevé, plus le niveau diminue rapidement lorsqu’on quitte la fréquence de coupure, mais la phase varie davantage par rapport à un filtre d’ordre inférieur.



Quelques illustrations pour comparer un filtre Butterworth d’ordre 2 et un d’ordre 3













Dans les exemples de filtres précédents, nous avons :



Filtre d’ordre 2 (But12), nous avons -20dB (soit1/10e) à 9,5kHz avec une phase de 154°

Filtre d’ordre 3 (But18), nous avons -20dB à 6,4kHz et une phase de 214° à cette nouvelle fréquence, pour la même atténuation.

Non représenté : en ordre 1 , nous avons -20dB à 30kHz (c’est loin . . .) et une phase de 84° à cette même fréquence. L’ordre 1 correspond à de la proportionnalité inverse, donc il faut multiplier par 10 pour avoir une atténuation 10 fois supérieure ou inférieure. Certes la phase varie moins, mais vous imaginez la taille de la plage de fréquence sur laquelle les transducteurs doivent être « bons » . . .



Ceci est valable en filtrage passif comme en filtrage actif FIR, donc mieux vaut l’avoir en tête !

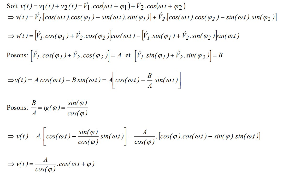
  1. Somme de 2 sinusoïdes de même fréquence



En régime établi, la somme de 2 sinusoïdes (ou plus) de même fréquence, même d’amplitudes différentes et de phases différentes donnera une sinusoïde de même fréquence.



Démonstration (elle peut se faire aussi avec les nombres complexes en notation exponentielle) :




est la nouvelle amplitude du signal résultant



est la nouvelle phase du signal résultant

La fréquence (sous forme de vitesse angulaire dans cette démonstration) reste inchangée.

Conclusion : le baffle step, effets de bord et autres points à prendre en compte ne donneront pas de distorsion en régime établi, mais joueront sur la phase et le niveau. Penser dans le design à répartir les espaces par rapport aux bords pour répartir les effets sur une plage de fréquence, et non avoir un effet supérieur concentré sur une plage réduite de fréquence. Si vous le pouvez, limitez tout de même ces effets car ils influent sur la rapidité du signal sur signal5T.

  1. Précautions de sécurité et autres précautions

OK, je vous prends par la main, mais on ne sait jamais, les erreurs d’inattention arrivent même aux meilleurs !

Précautions

  • Débrancher avant chaque modification électrique importante…

  • RODAGE OBLIGATOIRE ! ! ! ! sur hp neufs. Il peut être fait rapidement, en quelques heures sans se rendre sourd si on utilise le HP concerné hors baffle et vers sa fréquence de reproduction la plus basse, en augmentant progressivement le niveau.

  • Si vous testez un tweeter en direct, n'oubliez pas de mettre en série 33uF ou plus pour le protéger d’une mauvaise manipulation. Ne pas mettre trop fort tant qu’il n’y a pas de véritable filtre.

  • Attention au volume trop fort : doser le niveau en modifiant le volume Windows (bip)

  • Caler les enregistrements Audacity à partir de l’impulsion et peaufiner sur le signal à 19kHz si vous avez du signal à cette fréquence, pour un maximum de précision.

  • Attention lorsqu’on utilise Arta toujours placer le curseur de gauche du fenêtrage à gauche de l’impulsion et faire un « del » de celui de droite, ça ne changera pas grand-chose aux résultats de fenêtrer large, pour ce qu’on veut faire.

  • Lors de la mesure, débrancher de préférence l’alimentation du pc portable si c’en est un, pour éviter les interférences.

  • De nombreuses solutions pour récupérer le signal électrique sont possibles, à vous de trouver celle qui est le mieux adaptée à votre cas. L’important est surtout d’avoir les repères temporels et de ne rien faire griller.

  • Toujours vérifier qu’il n’y a pas un retour du micro vers les enceintes dû à un problème logiciel, à la configuration de carte son ou autre, en tapotant sur le micro

  • Vérifier que la 2ème enceinte est coupée si on ne veut en mesurer qu’une…

  • Utilisez des câbles avec des pinces crocodiles ou grip-fils de qualité pour le prototype de filtre passif, puis passez à la soudure. J’ai vu des fils avec pinces crocodiles du commerce qui faisaient 1 Ohm pour 40cm ! Autant dire qu’il n’y avait pas beaucoup de cuivre ou d’argent ni beaucoup de métal tout court dans les gaines. Le mieux est de vous en fabriquer avec des bonnes soudures et du bon fil électrique.

  • Pour des mesures en extérieur, vous pouvez avoir une différence de potentiel de la terre entre le lieu de vos mesures et celui la terre de votre installation électrique domestique si votre distance estgrande et que vous utilisez une rallonge. Donc soit vous travaillez sur seulement branchés sur le neutre et la phase et plantez un 2ème piquet de terre vers là où vous travaillez, soit vous utilisez un onduleur, ou sinon, vous faites très attention lors des branchements et débranchements de signal en coupant votre alimentation à chaque fois (qui ne coupe généralement pas la terre d’ailleurs).



  1. Quelle mise en place pour quelle mesure

  1. Récapitulatif des différentes conditions de mesure :

On n’obtient pas les même informations selon si on mesure en champ libre, ou en intérieur / en champ proche ou au point d’écoute, voici un résumé :


Intérieur

Champ libre (extérieur)



Champ proche

(test du médium et aigu)

Choix des HP

Choix des HP montés en baffle plan

Déceler des zones critiques dans la courbe de réponse des enceintes dans le médium / aigu, indépendamment de pièce d’écoute

Calage temporel des HP et détermination des fréquences de coupure

Calage temporel des HP et détermination des fréquences de coupure

Courbe de réponse, hormis le bas grave.

Mesures enceinte ou HP dirigé vers le ciel, à différentes distances du sol

Point d’écoute

Champ lointain > 1 m

  • Réponse impulsionnelle

  • Distorsion, bibelots et vibrations des parois du local comprises


  • Réponse impulsionnelle

  • Distorsion. Attention, sensibilité au vent et aux bruits extérieurs (oiseaux etc)

  • Réponse en fréquence de l’enceinte du 1/3 au 1/24e d’octave etc

Tester la pièce une fois fois qu’on a mesuré ses enceintes en champ libre.

Mesure du trio enceintes / mur frontal / sol sans influence de murs latéraux

Optimiser le placement et le support des enceintes et l’emplacement du point d’écoute

Mesures enceinte ou HP dirigé vers le ciel, à différentes distances du sol (voir annexe)

Traiter acoustiquement la pièce

Affiner sa courbe cible au point d’écoute et ainsi obtenir une restitution fidèle et non analytique


Le médium/aigu se mesure sur 1 seule enceinte (ou les 2 mais elles doivent être à la même distance du micro au mm près), les mesures grave compris avec 2 enceintes


Mesure d’impédance + accord et dimensionnement d’un éventuel système bass-reflex



Note : En champ proche, mesurer à une distance 3 à 5 fois la largeur du médium pour les mesures du médium et du tweeter. L’idéal : baisser le micro en champ proche sans l’éloigner en coulissant le tube du pied de micro pour passer de la mesure d’un HP à l’autre. Faire aussi des repères au sol pour pouvoir retrouver exactement le point d’écoute et le placement des enceintes.

  1. Le cas du grave :

Une mesure en extérieur n’est pas une mesure en champ libre, il est fréquent d’avoir une annulation dans le grave due à une réflexion sur le sol. Phénomène diminué car réparti si vous avez 2 woofer à 2 hauteurs différentes, car chacun est à une distance différente par rapport au sol.

Avoir une légère annulation dans le grave n’est pas forcément un point négatif, si vous utilisez par exemple le mur arrière à la bonne distance pour la « contrer » sur le lieu de l’écoute. De toute manière, le mur arrière est inévitable dans les pièces aux dimensions assez réduites, autant le prévoir dès la conception.

Justement, maintenant que le matériel est sorti, profitez-en pour tester votre enceinte à 30 cm d’un mur extérieur, puis 40 cm, puis 60 cm, puis 80 cm. En testant à différentes distances du mur frontal, et avec le micro à 2m et à hauteur du futur point d’écoute, vous verrez l’effet que cela procure sur le grave. Il y a de grandes chances que cet effet se reproduise une fois les enceintes dans la pièce… cumulés à d’autres effets. Voir:

https://www.petoindominique.fr/php/piece.php

saisir précisément les dimensions de votre pièce. Il faut savoir que les ondes ne se propagent pas que en « ping pong » entre 2 surfaces, et que si vous avez une pièce qui résonne à 30Hz, cela ne veut pas dire que vous aurez un pic à 30Hz dans votre courbe de réponse au point d’écoute. Au contraire, vous pourriez bien avoir une annulation au point d’écoute, donc un creux. Résultats à utiliser en connaissance de cause.

Ce qui semble se confirmer, par contre, c’est que « La position d'écoute optimale se trouve au 3/4 ou au 1/4 d'une dimension de la pièce. » : Le reste des articles de cette page est aussi très intéressant.

Vous pouvez aussi utiliser le logiciel « Rew » Room Simulation.



  1. Conditions pour des mesures en extérieur :

  • Les arbres et feuilles ne sont pas trop gênants si ils sont à plus de 4 fois la distance enceinte-micro. Une herbe haute en dehors de la zone de mousse au sol, ce n’est pas gênant.

  • Dans tous les cas, il faudra mettre de la mousse à pores ouverts sur le sol entre micro et enceintes. Si il y en a plus de 15cm d’épaisseur, c’est bien.

  • Si vous avez un bâtiment dans les environs, arrangez vous pour qu’il soit de biais à 45°par rapport à votre axe de mesure

    . Ainsi, les réflexions seront dirigées hors de votre micro.

  1. Que peut-on entendre à l’oreille avec signal5T ?



Simplement à l’oreille, on peut déjà obtenir des informations avec signal5T :

  • Si la distorsion est trop forte à certaines fréquences, vous l’entendrez.

  • Si 2 notes se suivent et se ressemblent, il y a peut être un problème. C’est fréquent dans le grave surtout en B.R. Parfois, c’est juste qu’on se trouve dans les limites de l’enceinte.

  • Si on sent que ça démarre fort et « propre » sur chaque train, c’est bon signe.

  • Si il y a une résonance à certaines fréquences, on va entendre le son qui traîne. On localisera aisément à l’oreille si cela vient de l’enceinte, ou de la pièce.

  • On entend si des objets résonnent et vibrent dans la pièce ou dans l’enceinte et on retrouve facilement à quelle fréquence cela se situe et on localise l’objet car ils continuent de vibrer après que le signal soit arrêté.

  • Vous connaîtrez aussi la fréquence minimale émise correctement par votre système.

  • Sans l’oreille mais avec la main, vérifiez l’accord de votre évent Bass-Reflex. Ne mettez pas la main trop près de l’évent pour ne pas modifier son accord. Captez le débit en « mesurant » la quantité d’air qui passe entre vos doigts collés les uns aux autres, sans serrer pour que l’air passe entre. Comptez le nombre de trains de 5 périodes depuis le début pour retrouver ensuite quelle était la fréquence du pic.





  1. Que peut-on visualiser simplement avec signal5T même avec un enregistrement de qualité médiocre ?

Oui, vous pouvez faire du très bon travail de calage temporel, travailler l’amortissement, la forme d’un pavillon sans système de mesure particulier, juste avec un smartphone, car vous pourrez enregistrer et avoir des informations sur :

  • Le comportement de la pièce selon les fréquences, certains « modes ». Ça fait peur à voir, heureusement, l’oreille sait « trier ».

  • La réactivité des enceintes selon les fréquences (le départ des trains est moins rapide sur une mauvaise enceinte). Il devrait être à 100 % dès la première demie période, et la phase devrait être nulle au début, ou au bout d’une demi période, d’une période etc, tout le temps...pour chaque fréquence…Ce n’est jamais le cas, mais notre objectif est de s’en rapprocher. Vous analyserez les mesures avec Audacity par exemple.

  • Visualiser et effectuer le calage temporel entre les HP, la phase etc.

  • Trouver les défauts, c’est bien, mais il faut ensuite les corriger. Voilà pourquoi nous vous conseillons d’investir dans du matériel pour pouvoir corriger rapidement et sans se tromper les principaux défauts de mise au point.

  • Vous pouvez faire un travail de mise au point par « comparaisons », utilisez votre cahier, votre stylo, votre imprimante . . .

  • Des mesures en champ proche, champ libre, au point d’écoute.

Si vous visualisez votre mesure avec Audacity par exemple, vous verrez au complet, pour chaque note de musique, l'attaque, le maintien, l'amortissement du HP + coffret + lieu, et pourrez zoomer, c’est très parlant. Ce n’était pas le cas autrefois avec un oscilloscope analogique.

Vous pouvez choisir vos haut-parleurs en les montant en baffle plan pour les tester sans les perturbations de la future caisse (ou dans le logement approprié pour le tweeter)



Si vous avez choisi d’utiliser le matériel conseillé, vous pourrez enregistrer le signal électrique de stimulation. Ainsi, vous vous affranchirez / pourrez discriminer les éventuels défauts de votre chaîne d’alimentation, d’amplification, de DAC etc.







  1. Guide d’Audacity, utilisation du fichier audio téléchargeable et préparation de la mesure en vue d’une analyse.



  1. Lecture et visualisation d’un signal audio / faire des copier-coller de signal

IMPORTANT : Autant que possible, enregistrer le signal du micro ET le signal envoyé pour éviter d’éventuels décalages temporels qui arrivent souvent à cause des logiciels, et qui vous feraient perdre 1h à trouver d’où viens l’erreur ! Heureusement, le décalage de vitesse entre lecture et enregistrement entre 2 pistes stéréo est toujours identique, et ne change en rien les synchronisations pour la mise au point.



Vidéo Youtube pour visualiser ce qu’il y a dans le fichier audio suivant

Fichier HiRes à télécharger, c’est le fichier audio que vous allez envoyer à vos enceintes pour en mesurer la restitution sur l’ensemble de la plage audible.

Avant chaque séance de mesure, s’assurer que le taux d’échantillonnage de sortie et d’entrée est au maximum possible, et qu’Audacity est en 384 kHz. Sur 16 bits, c’est amplement suffisant. Mémoriser dans les préférences.



La vidéo suivante vous expliquera comment caler le signal audio mesuré sur le signal électrique signal5T (mesuré aussi, donc).

Tutoriel calage temporel




Remarque importante : Si vous utilisez un logiciel de visualisation du signal audio, le courbe de réponse de votre micro n’est pas corrigée. Vous pouvez le faire en appliquant systématiquement post-mesure le bon filtre de Frequency-compensation que vous aurez soigneusement saisi et mémorisé dans l’equalizer. Le fait d’avoir un micro non corrigé ne gêne en rien le travail de calage temporel et la mise au point du filtrage d’enceinte dans un premier temps, si votre micro ne comporte pas d’erreur supérieure à 1,5 dB dans sa réponse en fréquence. Vous pouvez aussi appliquer la correction directement sur le signal5T source si vous conservez tout le temps le même micro, votre nouveau « signal5Tcorrigé » prendra en compte les erreurs du micro. C’est moins juste que la manière précédente, mais bien plus pratique. Les erreurs dues à cette manière simplifiée ne sont pas critiques pour une mise au point à ce stade de l’avancement.

La fin du travail de mise au point se fait de manière classique avec un logiciel d’analyse qui, lui, comporte la Frequency-compensation. Vous pourrez vérifier vers la fin du travail de mise au point que tout est toujours bien calé, étant donné que les filtres modifient la phase.



  1. Lire des valeurs précises de temps grâce aux curseurs : position des curseurs et intervalle de temps

Pour obtenir une résolution de temps de curseurs et entre curseurs inférieure à 1ms avec Audacity, utilisez la valeur exprimée en « échantillons ». Vous divisez ensuite le nombre d’échantillons par la fréquence d’échantillonnage pour obtenir la valeur en secondes avec précision, surtout si vous échantillonnez à 384 kHz.



  1. Somme de 2 signaux

On peut simuler des filtres passe haut/passe bas avec Audacity et faire la somme des hp pour avoir une idée du comportement filtré.

EXEMPLE 1 :

Voici les 2 fichiers à télécharger, ils ont été créés avec la fonction « courbe de filtrage » à partir du signal5T à Fc = 3500Hz :

Filtre passe bas 2ème ordre selon l’atténuation de Butterworth

Filtre passe haut 2ème ordre selon l’atténuation de Butterworth



Vous pouvez tester la somme de 2 signaux avec ces 2 signaux filtrés.



Pour réaliser la somme de 2 signaux dans Audacity (déjà vu):

joindre les 2 pistes, sélectionner la zone puis effectuer Mix → Mix stéréo vers Mono

Il faudrait faire un gain de 6 dB car Audacity divise automatiquement la somme par 2 pour

éviter la saturation. Justement, dans ce cas, si on le fait il y aura une légère saturation.

Retrouvez-vous le signal initial en faisant la somme des 2 signaux filtrés ? Dans le meilleur des mondes, vous devriez retrouver le signal initial avec un niveau qui est constant. Mais ce n’est pas le cas. Les filtres font -3dB à la fréquence de coupure. A méditer…

La phase est-elle bonne si vous remettez le signal original en dessous ?

Les filtres d’Audacity sont donc des filtres à phase constante, contrairement aux filtres passifs et aux FIR si on ne corrige pas la phase en plus.

EXEMPLE 2 :

Voici les 2 fichiers à télécharger, ils ont été créés avec les fonctions « Filtre passe Haut » et « filtre passe bas » d’Audacity. Ils simulent des filtres avec respect du déphasage :

Filtre passe bas 2ème ordre de Butterworth

Filtre passe haut 2ème ordre de Butterworth



Le résultat n’est plus du tout le même ! C’est normal, les signaux additionnés ne sont pas en phase.

  • Faites la flèche de retour en arrière pour retrouver vos 2 signaux avant d’avoir fait leur somme. Insérez en dessous signal5T pour avoir la référence temporelle.

  • Zoomez sur le train de 5 périodes à 46 secondes, les signaux sont presque en opposition de phase, ils se trouvent dans des quadrants opposés, leur somme est donc presque nulle.

  • Il faudra procéder à un recouvrement des 2 HP, autrement dit, augmenter le fréquence de coupure du médium ou baisser celle du tweeter.

Ces exemples sont juste là à titre d’information, vous utiliserez certainement des filtres différents et plus adaptés à votre situation, et donc pas du Butterworth pur et simple. Ces filtres peuvent permettre de dégrossir le travail sans avoir à refaire les mesures, mais il faudra passer à l’étape de la mesure et des essais en situation réelle sans tarder pour ne pas perdre de temps en simulations.


Vous pouvez dès maintenant créer vos propres filtres FIR avec Audacity en fonction de vos besoins.

Utilisez les fonctions « Filtre passe Haut » et « filtre passe bas » d’Audacity. Si vous voulez faire un filtre d’ordre 3 (18dB/oct), utilisez un filtre à 12dB/oct puis refaites-en un à 6dB/oct.

Appliquez-les à signal5T (sauf à l’impulsion), enregistrez et envoyez tout ça au bon HP.

Vous pourrez utiliser ces simulations de filtrage pour le chapitre 14.

  1. Savoir rapidement à quelle fréquence correspond le paquet de 5 périodes que vous visualisez



Pour trouver la fréquence moyenne d’un paquet des 5 ondes, sectionner plusieurs paquets (groupes de trains de 5 périodes) pour avoir une moyenne du groupe de notes. Dans l’analyseur de spectre.

Ci-après, un fichier pour retrouver rapidement le lien entre le temps après l’impulsion de calage et la fréquence du train de 5 périodes. A imprimer et à avoir sous les yeux, il vous servira souvent et vous fera gagner du temps: Cliquer sur l’image pour la télécharger et pour l’imprimer.


  1. Zoomer, analyser, se faire la main pour retrouver rapidement les fréquences.

Pour vous faire la main sur des mesures existantes et voir à quoi doit ressembler une mesure sur enceinte mise au point, ouvrir Audacity et y importer le fichier de mesure des enceintes La Petite en extérieur. Ainsi, vous pourrez avoir une idée de ce que vous obtiendrez sur une enceinte bibliothèque aboutie.



Vous pouvez aussi visualiser les enceintes Evasion en intérieur à 60cm,

Ici la même enceinte Evasion, en mesure à l’extérieur à 1m



Et maintenant les mesures en extérieur sur un système triphonique



Analysez la vivacité en fonction des fréquences, l’amortissement, la phase entre le signal électrique qui a été préalablement calé et le signal mesuré. Ce sont des systèmes sans traitement numérique, vous pouvez donc obtenir mieux avec un bon traitement numérique.

La vivacité (l’attaque) et l’amortissement global ne peuvent pas être corrigés correctement en numérique, donc choisissez bien vos HP !

  1. Capacité / choix des HP grâce à la mesure : éléments complémentaires aux données constructeurs

Les paramètre T&S et autres sont bien utiles mais insuffisants pour mettre au point une enceinte de manière optimale. Vous allez connaître davantage vos HP avec les instructions qui suivent.

Faites-vous déjà une idée des limites des HP à l’oreille. Si avec signal5T, le HP « chante » à certaines fréquences, il est peut être à sa limite de fractionnement par exemple.

Exemple de mesure à une fréquence donnée sur un HP en champ libre et proche pour le tester :






Ce HP est « lent » à démarrer, et il l’est aussi à s’arrêter. C’est un HP à membrane en aluminium. Cette technologie est peu influençable par les résonances et autres retours de caisse, et la courbe de réponse est assez régulière, mais la membrane peut être lourde, d’où ce type de résultat.

La période varie entre la première et les suivantes. C’est souvent le cas, mais ceci est amplifié dans le cas d’un HP lent.

Ce HP a été écarté, il ne permettra pas d’atteindre l’objectif facilement.



Pour avoir un bon résultat à l’écoute, il faut atteindre au moins 50 % de l’amplitude stabilisée sur la première demi période, et 80 % sur la 2ème sur l’ensemble de la plage utilisée du HP dans le médium et l’aigu. Là on est en dessous.

Si vous souhaitez un tweeter à dôme rapide (mais pas trop), vous comprendrez pourquoi en (c), choisissez en un de petit diamètre et couper assez haut en fréquence. Le magnésium, béryllium, titane sont légers et rigides. L’aluminium n’est pas optimal. Le tissu, lui, nécessite une membrane plus bombée à cause de sa souplesse, si vous pouvez vous en passer, c’est préférable car il aura certainement de la distorsion lors de l’arrêt franc. L’amortissement interne du tweeter doit aussi faire l’objet du choix. Si votre tweeter a une annulation d’onde due à un retour interne en opposition de phase, vous ne pourrez pas y faire grand-chose. Au dessus de 10 kHz, une tolérance est envisageable si elle est sur une petite plage de fréquence et que l’on reste dans le domaine du raisonnable. L’oreille est moins exigeante à partir de 10 kHz, alors qu’elle est intransigeante entre 1 kHz et 10kHz.

Vérifiez que la distorsion harmonique totale DHT est inférieure à 0,5 % si possible pour f > 100 Hz en utilisant un logiciel de mesure. 1 % est tolérable localement. Si vous n’avez pas de logiciel, assurez vous au moins d’avoir de belles sinusoïdes à l’écran.



Définissez pour quelles fréquences le HP n’est plus de qualité suffisante à l’œil nu sur signal5T. Définissez ainsi ses fréquences limites d’utilisation f_min et f_max. Lors du filtrage il faudrait s’assurer pour que le niveau de signal électrique filtré envoyé au HP soit à -20dB minimum en dehors de [f_min ; f_max].



Une fois vos HP choisis, vous pouvez continuer l’enceinte.

Pour pouvoir l’utiliser en multi-amplification ou pour mettre au point aisément un filtre passif, le plus simple est de ressortir des fils reliés directement aux HP. Le filtrage sera effectué en externe.



Voici une photo d’un bornier équipé pour faire un tri-câblage : Le condensateur est de valeur élevée et n’est là que pour protéger le tweeter des basses fréquences ; les prises sont des XLR sur cette photo.




On peut aussi sortir les fils par un trou dans l’enceinte, ou par l’évent Bass-Reflex si la section des fils est négligeable par rapport à celle de l’évent.

  1. Des creux et des bosses dans la courbe de réponse



  1. Les ondes réfléchies dans l’enceinte. . . et les autres

Une fois vos HP dans des enceintes, il y aura des retours d’ondes réfléchies à l’intérieur du coffret (en bleu) :




Elles stimuleront la membrane du HP par l’intérieur de l’enceinte. Une partie des sons des réverbérations internes va donc ressortir par la membrane du HP. Ces ondes peuvent être en phase, mais elles peuvent aussi être en opposition de phase. Les ondes réfléchies sont normalement d’un niveau inférieur à l’onde de départ, donc il y a rarement une annulation totale.

  1. Les ondes réfléchies sont-elles en phase, en opposition, autre

Si on divise le cercle trigonométrique en 4 secteurs angulaires, on obtient 4 quadrants.

Les quadrants sont les 4 zones numérotées du cercle en haut à droite de l’application que vous avez déjà essayée :


Pour cette illustration, le signal du médium de l’application a été remplacé par l’onde réfléchie résultante à travers la membrane. Normalement, il n’y en pas pas qu’une, mais une multitude d’amplitudes et délais différents. Le fonctionnement additif est le même. Si vous effectuez une mesure en régime établi avec un frequency sweep (courbe de réponse en fréquence), vous
obtiendrez le niveau correspondant à ce qui est entouré en vert qui correspond au régime permanent. A moins que vous ne fassiez une mesure sur bruit rose (ou blanc).

→ Si vous visualisez une zone « forte » dans une courbe de réponse, c’est qu’il y a un retour d’onde dans 2 quadrants angulaires adjacents. Le signal stoppe généralement plus net que lorsque le HP était mesuré en baffle plan.

→ Si vous avez une zone affaiblie, c’est que vous avez un retour d’onde dans un quadrant opposé. C’est le cas dans l’exemple ci-dessus. Le signal mesuré sur signal5T stoppe généralement plus net que lorsque le HP était mesuré en baffle plan du fait de l’annulation d’onde.



Exemple de calcul pour le cas d’un retour en opposition de phase afin d’estimer d’où viens d’onde réfléchie :



Si vous avez un retour d’onde en opposition phase avec un retard de 149 échantillons a 384000Hz, l’intervalle de temps est 149/384000 = 0,000388 s

soit 0,000388 s x 340 m.s-1 = 0,132 m, donc 13,2 cm

Votre onde a fait un aller et retour de 13,2 cm, donc la réflexion a eu lieu à 13,2 / 2 = 6,6 cm de l’émission.



Le problème de retour d’onde dans les différents quadrants se produit avec les réverbérations dans l’enceinte, de la pièce, du sol, du plafond, des murs, des meubles, des résonances mécaniques de toute part. Tout ceci s’accumule / ou s’annule en certains points pour faire le « mélange » que vous obtenez à la mesure.





  1. Mise en phase et temporelle des HP, choix du branchement en phase ou non.

  1. Synchroniser 2 HP, principe de base

Il faut savoir que chaque HP possède, un centre émissif moyen qui peut varier selon les fréquences. C’est à dire qu’on peut considérer que pour une fréquence donnée, le son du HP est émis depuis un disque correspondant au diamètre de la membrane, et sur un plan vertical. Ce plan vertical virtuel est situé logiquement à un recul situé entre la suspension et le cache noyau.

Une mesure et un petit calcul peut vous donner la position du plan. Cela dit, l’important n’est pas de savoir où il est, mais de savoir pour chaque fréquence et pour chaque HP, avec quel délai relatif le son sort de chaque HP. Les explications qui suivent dans ce chapitre permettront de synchroniser 2 HP (2 voies). Il faudra refaire de même 1 ou plusieurs fois si il y a 1 ou 2 HP supplémentaires (système 2. 1 ou système 3 ou 4 voies).




Dans cet exemple, les 3 HP sont montés sur un même plan.

Comme les membranes ont des profondeurs différentes à cause de leurs dimensions, le son du Tweeter arrivera sur le plan A avant celui du médium, qui lui même arrivera avant celui du grave qui arrivera en dernier. Reculer le tweeter (et un peu le médium) permet de rattraper le retard par rapport au grave.



  1. Des HP mal synchronisés :

Voici des mesures sur une enceinte du commerce réputée, à différentes fréquences autour de la fréquence de crossover entre le médium et le tweeter :









Autant dire que ce n’est pas joli joli, vous n’aurez aucun mal à obtenir bien mieux. C’est une enceinte
bien équilibrée (très bien, même). Elle me sert d’étalon, pour l’équilibre tonal sur des musiques assez simples, mais l’image sonore est inexistante. Dès que la partition se charge un peu, c’est le bazar. Elles deviennent même parfois désagréables. Et que dire de ces détails qui vous font vibrer même avec une seule note d’une seule corde, et des voix. Vous comprenez pourquoi d’après ces mesures ? Vous saisissez ? Le calage temporel entre les 2 HP n’est pas respecté. L’amortissement des HP est correct, le calage temporel aurait été effectué correctement par un recul du tweeter, elles auraient été de très bonnes enceintes.

Si vous ne trouvez pas pourquoi on voit que le calage n’est pas bon, jouez un peu avec l’application page suivante.

Cliquer pour l'application 2 : Que se passe t-il à la fréquence de coupure étant donné que des HP idéaux n'existent pas, surtout lorsqu'ils sont dans une enceinte ?


Nous sommes loin de la forme du signal électrique de stimulation...



Voici un résultat pas mal du tout, avec 2 HP non idéaux :






Il n’y a qu’à jouer numériquement sur les retards ou phases sur l’ensemble des autres fréquences (et en fonction des fréquences, car le phénomène sera similaire, mais avec d’autres retards) et pour chaque HP pour obtenir un très bon rendu sonore.
Choisissez bien vos fréquences de coupure, vos types de filtres et vos HP pour viser des résultats similaire pour chaque fréquence.



  1. Cas du caisson de graves :

Contrairement à une idée répandue, couper à 140Hz (maxi) n’est pas un problème si votre caisson, une fois placé en situation, a une DHT < 1 % pour f > 70Hz. Un sol qui vibre rendra ceci impossible, à moins de découpler grandement le caisson du sol. Respectez scrupuleusement le niveau sonore et le raccord du caisson avec le reste du système, sinon vous aurez la sensation d’un système 2,1, et non de 2 grosses enceintes transparentes qui s’effacent devant la musique. Vous devez aussi avoir une pente de coupure d’au moins 12dB/oct. Ne mettez pas le caisson dans votre dos tout de même, laissez le vers les enceintes, il ne faut pas exagérer tout de même.

Vous pouvez dégrossir le calage entre vos 2 enceintes et le caisson en utilisant la réponse implusionnelle, c’est rapide et assez efficace. La courbe de réponse et de distorsion de chacun vous permet aussi de faire les premiers choix, vos premiers réglages qui seront affinés par la suite.



Pour améliorer et faire un vrai travail de pro :

Calez temporellement tout ceci en extérieur et mesurez la distance entre les satellites (enceintes) et le micro. Faites de même entre le caisson et le micro. Mesurez la plus courte distance entre micro et les HP, et non la distance au sol. La différence entre les 2 vous donnera le périmètre où vous pourrez placer le caisson autour de vous dans une pièce.

Exemple : résultat idéal lorsque vous mesurez:

Dist Mic à satellite = 3m

Dist Mic à caisson = 2,3m Différence = 3 – 2,3 = 0,7 m

Le caisson devra être placé à 0,7m plus proche de vos oreilles que les satellites.



Donc si dans votre pièce, les satellites sont à 2,8m de vous

alors le caisson devra être placé à un rayon de 2,8-0,7=2,1m de vous, ce qui vous laisse de nombreux choix de positionnement !

Si le caisson est placé sur un plancher, privilégier de la placer à proximité d’un mur porteur, d’une cheminée, le sol y est plus rigide généralement. Dans ces conditions, le sol sera plus rigide à l’emplacement du caisson et il y a de grandes chances pour que la fréquence de résonance du sol à cet emplacement soit plus haute, et espérons que f_résonance_sol > f_max caisson.



Autre point : ce n’est pas parce qu’une mesure en champ libre montre une limite basse à -6db à 45 Hz sur une enceinte ou 1 caisson de grave que votre système ne descend pas à 30Hz sur le lieu d’écoute et au point d’écoute. Votre pièce d’écoute a des défauts mais aussi des points forts. Elle aide le grave à se déployer (si il est présent car si il n’y a pas de son émis à la base, il n’y aura rien, c’est logique).



Autre point encore : il se peut que vous ayez un « creux » dans la courbe de réponse dans le grave. Parfois, il s’agit simplement d’un effet du sol. Changez la hauteur de l’enceinte et vérifiez si le phénomène est dû au sol ou à l’enceinte. Exemple :




A savoir : les bas graves sont souvent enregistrés en mono et sont donc présents identiquement sur les voies droite et gauche dans la musique.



  1. Branchement en opposition de phase ou en phase ?

Le choix de la pente de votre filtre peut vous y obliger, dans tous les cas, retenez :

Dans le grave et les aigus, un branchement en opposition de phase et avance temporelle est parfois préférable à un démarrage lent. Vous calez sur la 2ème demi période. Un partie de l’information sera perdue, mais beaucoup moins que sur certaines enceintes « musicales » où il y a carrément une période ou plus entre les 2 HP. Explications en (d).

L’oreille est très sensible aux fréquences médium, donc il faut bien choisir son haut-parleur. Choisir le HP de médium comme référence, le brancher en phase, il sera votre point de départ.



Exemple de choix de la polarité :

On reprend le « mauvais » HP précédent. En rouge, la référence à obtenir.

En phase, on a :


Il y a un manque au départ, et un grand excédent à la fin.




En opposition de phase,on a :

Si on a le bon calage temporel, on aura un léger excédent en avance, et un arrêt rapide. C’est un mal pour un bien. Vous êtes à mi chemin entre l‘enceinte parfaite (irréalisable) et l’enceinte classique où le calage temporel n’est pas bien respecté entre Médium et Tweeter par exemple. Vous pourrez avoir une sensation de profondeur moindre, l’extinction des notes étant plus rapide, c’est fidèle à l’enregistrement tout simplement. Par contre, tous les détails sont présents. A vous de voir.

En règle générale, si le démarrage est inférieur à 30 % (50 % exceptionnellement et localement) vous pouvez brancher en opposition de phase un tweeter ou le woofer. Et vous calerez la 2ème demi période qui elle devrait être proche de 100 %. Généralement, c’est gagnant ainsi à l’écoute plutôt que de démarrer « lent ». D’ailleurs, si votre HP est lent à démarrer dans cette plage de fréquence, il l’est peut être aussi à s’arrêter, vous serez dans ce cas doublement gagnant, car l’arrêt se fera brutalement (la dernière demie période sera en fait celle de l’élan de la membrane et il n’y aura plus rien après).

TRÈS IMPORTANT : Si on travaille sur les passages à 0 des sinusoïdes pour définir les calages, au lieu des extremums, les mesures peuvent être faussées si il y a un décalage DC. Dans ce cas, faire un filtrage passe haut à très basse fréquence dans Audacity pour enlever la composante continue. (filtre a 10Hz , dans « effet » sur Audacity).



  1. Exemple de calage entre 2 HP non parfaits, mais dont le résultat l’est presque :

La mesure a été effectuée sur les enceintes « La Petite », à la fréquence du crossover de 2230Hz

Au dessus, vous avez le signal du tweeter en opposition de phase, au milieu le signal du médium, et en dessous la somme des 2

Pour réaliser la somme de 2 signaux dans Audacity (déjà vu):

joindre les 2 pistes, sélectionner la zone puis effectuer Mix → Mix stéréo vers Mono

faire un gain de 6 dB car audacity divise automatiquement la somme par 2 pour éviter la saturation




Le total est pas mal, n’est-ce pas ! Les défauts se sont compensés. Cerise sur le gâteau, le signal est en phase avec le reste du spectre.

  1. Le cas d’une enceinte 3 voies ou plus.

La longueur d’onde est grande dans la bas médium et le grave, mais elle est courte dans le haut médium et les aigus.

Le calage entre médium et tweeter doit être donc effectué si possible au millimètre près si vous coupez le médium au dessus de 2kHz.

Un woofer peut se trouver dans le plan du médium car les longueurs d’onde sont longues à ces fréquences. La profondeur de la membrane et donc le centre émissif moyen pourront être décalés de plusieurs cm sans problème.



Démonstration :

A 300 Hz, La longueur d’onde est de :

340m.s-1 / 300 s-1 = 1,13 m

vous pouvez utiliser le tableau de conversion pour retrouver l’ordre de grandeur de ce résultat.

1 cm de décalage dans les centres acoustiques donnera un déphasage de 360 x 0,01m / 1,13m = 3,19°

le déphasage est faible.



On peut même se permettre d’avancer le médium de plusieurs cm par rapport au woofer et rester dans des déphasages tolérables inférieurs à 5°.

Ainsi, le recul du tweeter par rapport à la façade sera logiquement inférieur, ce qui pour des raisons de fabrication et de design peut être intéressant.

Exemple de médium avancé par rapport aux tweeter et woofer ci-dessous :






  1. Délai numérique (ou ligne à retard / filtre passe-tout en analogique) ou décalage du tweeter ?

Si vous êtes toujours placé en face de l’enceinte pour écouter la musique, les 2 sont à peu près équivalents. Par contre, si vous jouez sur un retard électrique, qu’il soit numérique ou analogique, toute votre mise au point sera faussée si vous n’êtes plus dans l’axe de l’enceinte.



Explications avec l’inégalité triangulaire:






On remarque que lorsqu’on est plus dans l’axe (vertical surtout), l’éloignement entre le tweeter et le médium par rapport à notre oreille est réduit. Le délai apporté sur le signal électrique du médium pour que le son du tweeter arrive en même temps que celui du médium ne sera plus le bon. La réponse en fréquence hors axe aura des irrégularités car les phases relatives ne seront plus respectées.



Pour cette même raison physique, n’éloignez pas trop votre tweeter du médium, sinon l’enceinte sera plus sujette aux différences de rendu en fonction du décalage de l’écouteur par rapport à l’axe d’écoute. Même si ça ne sera pas pire qu’une enceinte pour laquelle le calage temporel n’est pas effectué correctement.

Si vous travaillez uniquement sur la partie médium/aigu, utilisez Signal5T à partir de 500hz.

  1. Filtre sur enceinte non aboutie, garder les finitions esthétiques pour la fin !



A ce stade, vous devriez avoir dégrossi les fréquences de coupures et le calage en distance entre les différents HP. Votre enceinte prend forme. Le niveau global relatif entre chaque transducteur est à peu près équivalent.

Pensez à mesurer votre enceinte en extérieur, isolée puis à différentes distances d’un mur pour voir l’effet que cela procure sur le grave.

  1. Passer de l’actif au passif

Si vous avez dégrossi les crossover au filtrage actif, et que vos enceintes sont destinées à un filtrage passif, il est possible d’effectuer le filtrage passif à partir de ce stade. Vous pouvez aussi rester en actif jusqu’au chapitre suivant, cela n’a pas trop importance.



Pour passer de l’actif au passif, le mieux est de faire un « copier coller » sonore de l’enceinte.



  • Choisissez un emplacement, mettez les 2 enceintes côte à côte, branchez en une en actif.

  • Faites votre filtre passif à l’extérieur de l’enceinte.

  • Arrangez-vous pour obtenir des mesures identiques pour les 2 enceintes.

Voilà, vous avez fait votre copier coller, car il est indépendant des conditions extérieures si les 2 enceintes sont dans les mêmes conditions.



Remarque, en filtrage passif, on ne peut que diminuer un niveau, on ne peut pas l’augmenter (a part en utilisant une résonance électrique qui provoque un dépassement aux environs de la fréquence de coupure, mais c’est à éviter).



Le réponse en fréquence n’est pas encore totalement plate ni régulière, ce n’est pas un objectif en soi, mais il vaut mieux partir de là tout de même et ajuster par la suite. Vous vous en apercevrez lors des « finitions » à l’écoute que la courbe plate n’est pas le meilleur équilibre. La raison ? Les mastering n’ont pas été effectués sur vos enceintes mais sur des enceintes spécifiques, visant un équilibre pour le plus grand nombre de systèmes de restitution, à vous de vous adapter ! Rassurez vous, toutes les infos sont bien présentes sur les enregistrements, seul l’équilibre peut différer de 1 ou 2 dB car ce que vous avez normalement à ce stade, c’est du lourd qui ne laisse rien passer et qui ne demande qu’à être équilibré.



Ce qu’il faut éviter dans un 1er temps, c’est des « manques » : des creux importants et localisés dans la courbe de réponse supérieurs à 2 dB avec une analyse à l’octave et au 1/3 d’octave. Au 12e, et enfin au 24ème vous discernerez si vous avec un amortissement correct, des vibrations et résonances. Pour les 1/12e et 1/24e , les variations sont inévitables, mais elles ne devraient pas dépasser ± 5dB localement. Si vous avez de fortes variations que vous n’aviez pas en baffle plan, vous avez certainement une annulation, suivie d’une addition d’onde, puis une annulation etc. Ça arrive, même pour des fréquences proches.

Le recul des HP devra être vérifié, voire revu afin de parfaire l’ensemble des calages temporels car ajouter un filtrage ajoutera des déphasages (si en FIR pour un DSP).



Vous aurez certainement des creux dans le grave dus à des annulations par opposition de phase. Vérifiez si il sont dus à la pièce ou au placement des enceintes.

Travaillez le placement des enceintes pour avoir une bonne restitution du grave. Des enceintes trop proche du mur frontal vous donneront une image sonore réduite. L’idéal est d’avoir au moins 50cm, voire 1m entre le mur et l’arrière des enceintes. Encore plus, si vous avez une grande pièce, c’est mieux.

En filtrage passif, ne vous contentez pas de filtre avec des pentes classiques. Faites du filtrage « type large bande » Voir quelques exemples simples dans « pseudo filtres » en annexe et utilisez aussi des filtres « bouchon » en plus. En filtrage actif, vous différencierez les filtres des crossover et le filtrage de la réponse en fréquence. Sachant que les 2 peuvent être liés et simplifiés.



Votre schéma électrique devient très complexe ? Peut être que vous pourrez trouver un schéma équivalent plus simple par le calcul avec la transformée de Laplace, pour chaque section de HP. Vous devez avoir les paramètres du HP selon le schéma suivant : il faut aimer les maths, là . . . Maintenant que vous êtes dans l’espace mathématique de Laplace, profitez-en pour voir quelle est la réponse à un échelon, à une impulsion etc.




  1. Écoute / équilibre général.



En DIY, faites vos réglages au point d’écoute avec l’aménagement définitif, avec vos composants définitifs, vous n’aurez ainsi pas de question à vous poser sur les tolérances, les résistances internes etc puisque ce que vous mettrez au point sera votre résultat final.

Testez les 5 trains, si 2 ou 3 notes se suivent et se ressemblent, il y a une résonance de pièce ou d’enceinte qui prend le pas sur le signal audio « générateur », qui est le haut parleur. Il faudra zoomer dans cette zone de fréquence pour voir ce qu’il s’y passe.



Encore une fois, il ne faut pas viser nécessairement la courbe plane en champ proche ou à la courbe cible en 2 ou 3 segments au point d'écoute, faites vous votre propre opinion à l’écoute, d’ailleurs, on trouve plusieurs avis différents à ce sujet, à vous de vous faire le vôtre. N’oubliez pas non plus que les studios n’ont pas vos enceintes, et vous, pas les leurs. Il est courant de devoir baisser un peu le haut médium pour ajouter un peu de douceur.

Pour le grave, vous pouvez essayer avec un évent Bass-Reflex ou alors le boucher avec de la mousse pour mesurer et/ou écouter les différences, vous en apprendrez certainement sur votre enceinte et sur votre pièce grâce à cette petite manipulation.



Écoutez les titres suivants pour dégrossir votre mise au point (à acheter en qualité maximale). En règle générale, on entend mieux les défauts si on augmente le son. L’amortissement acoustique interne des enceintes jouera totalement son rôle et vous pourrez tester ses limites. Par contre, pour avoir un plaisir maximal une fois vos enceintes au point, il est préférable de respecter le niveau sonore potentiel du concert.

Two steps from hell : « Invincible » à acheter en qualité maximale

Ce titre est un tout à lui tout seul. Si votre système est au point, vous aurez une image sonore en 3D qui va depuis autour de vous jusqu’à des plans lointains. Comme il y a de tout, et beaucoup : des chœurs et de nombreux instruments (certes un peu compressés pour certains, l’enregistrement a ses limites) et sur toute la plage de fréquence, vous aurez un aperçu général de votre enceinte en quelques secondes. Si vous avez l’impression d’être au cœur de la scène d’action du film, c’est bon signe. Si vous avez l’impression que la musique est celle du générique de fin de film, c’est moins bon signe.



The Weeknd « Blinded lights », même sur Youtube, ça suffit

Ce titre est simple, mais si la voix est en retrait, c’est que le grave ou l’aigu a pris le dessus. Vous réglez assez simplement l’équilibre tonal général sur ce titre.



Oscar Peterson trio « You look good to me »

Ce titre doit être magnifique, malgré son âge. Là encore vérifiez l’équilibre tonal, le piano doit être clair et possède peu de résonance de bois. Il n’est pas en retrait. Les percussions sont bien distinctes. Chaque instrument se détache bien, il doit y avoir de l’espace entre les instruments, les chuchotements sont bien perceptibles et permettent de tester le rapport S/Bruit de votre enceinte. Oui, ça existe aussi pour les enceintes, car les micro-détails ne sont pas perceptibles si le son n’est pas épuré et que des sons parasites s’additionnent à l’enregistrement.



Écoutez des titres de votre choix, avec des voix ou enregistrez des voix et reproduisez les.

Un son de gamelle est probablement le signe d’un excès de niveau vers 1 KHz ou d’un mauvais raccord entre le médium et le tweeter.



L’enceinte ne doit pas être analytique, tout doit être naturel et en douceur, mais rien ne doit manquer, et chaque élément doit ressortir clairement. Sur une musique bien enregistrée, vous pouvez écouter votre système pendant des heures sans fatigue et avec le plus grand plaisir . . .



Si à un moment, vous vous dites « peut être que... », « je me demande si... », il y a de grandes chances que ce point soit à améliorer.



Si vous décelez un point à améliorer sur une plage de fréquences, c’est peut être que ce sont ceux autour de cette fréquence qu’il faut améliorer. L’équilibre tonal est piégeux.



Faites les essais et réglages sur plusieurs jours, invitez les copains, faites écouter par vos enfants qui n’ont aucun à priori, faites des séances d’essais les yeux fermés, faites un break d’un ou plusieurs jours puis revenez l’esprit nouveau.

Voilà, c’est tout… Normalement, toutes les musiques passeront à merveille à partir de maintenant.

Si vous avez apporté une correction supérieure à 2dB ou revu les coupures des HP, revérifiez les calages temporels, on ne sait jamais. Je sais, je l’ai déjà dit.

Plus vous progressez en qualité, plus les réglages seront fins, mais des petites détails de mise au point peuvent avoir un effet important sur la restitution, et surtout sur la vérité de l’image sonore. Vous peaufinerez en travaillant à l’octave sur 0,5dB, ça sera déjà pas mal. Si vous êtes en actif, il n’y aura pas de limites, mais gardez l’oreille pour ne pas faire de bêtises, vous savez maintenant de quoi je veux parler.







  1. Correction active de la pièce.

  1. Pourquoi ce chapitre après la mise au point à l’écoute ?

Car si vous faites trop de corrections, vous allez tout gâcher. Le cerveau, grâce aux pavillons des oreilles et les réflexions sur ces pavillons, grâce à la perception stéréophonique et autres informations, sait très bien discerner les sons « primaires » des sons réfléchis, sauf pour le grave évidement.



Pour vous en convaincre, enregistrez une musique avec votre micro au point d’écoute et écoutez l’enregistrement au casque. Horrible, non ? Pourtant vous avez un super casque. Ce n’est pas ce que vous aviez entendu, il y a beaucoup de réflexions. Votre oreille et votre cerveau avaient fait le tri. Avec votre casque, tous les repères sont inexistants, votre oreille ne peut pas faire le tri entre les sons primaires et les sons réfléchis.

  1. Chasser les résonances

Pour chasser les résonances, surtout dans le bas du spectre, il faut savoir à quoi elles sont dues. Vous pouvez essayer d’écouter signal5T et vous déplacer, mais ce n’est pas évident. Déplacez vos enceintes pour savoir si c’est dû à un phénomène de distances par rapport aux murs. Soulevez-les aussi, déplacez le micro de mesure, ouvrez les fenêtres. En bref, modifiez tous les paramètres possibles pour voir d’où cela viens !

Au fait, aviez-vous pensé à mesurer votre enceinte en extérieur, à différentes distances d’un mur pour voir l’effet que cela procure sur le grave ? Si ce n’est pas le cas, il est encore temps de le faire pour mieux cerner votre enceinte.



  1. Limiter les corrections actives de pièce

Si vous faites trop de corrections, vous détériorerez le signal principal pour soit-disant améliorer des réflexions que vous annulez naturellement à longueur de journée sans y penser.

Si votre lieu d’écoute est critique, que votre oreille ne s’en sort pas et que vous ne pouvez pas traiter acoustiquement votre local par un tapis, des rideaux, des tableaux, alors une petite correction à la source sera nécessaire.

Maintenant que vous avez fait vos corrections à la mesure, divisez les par 2 ! Est-ce que vous avez perdu quelque-chose en divisant les coefficients de correction par 2 ? Sincèrement ? Il y a des chances que non, surtout pour des écoutes à volume modéré. Voici comment diviser un gain un niveau par 2 (en dB).

Si je devais résumer et simplifier, installez vos enceintes symétriquement si votre pièce est symétrique elle aussi. Corriger en priorité les basses fréquences, avec modération, car elles, les oreilles et le cerveau ne peuvent pas les corriger. Pour le médium et l’aigu, faites-le uniquement pour les cas extrêmes, avec encore plus de modération si vous écoutez principalement des styles de musique qui se jouent à niveau modéré, car votre écoute sera de toute manière centrée sur vos enceintes. N’oubliez pas que l’effet « Loudness » est toujours d’actualité. Il est important de le prendre en compte, la perception de l’oreille humaine n’a pas changé depuis le XXe siècle, elle suit toujours une courbe isononique… Ne négligez pas non plus la balance D/G. Il n’y a aucune honte à corriger une pièce dissymétrique ou un emplacement non optimal pour améliorer le rendu.



Faut-il caler tous les maximums de chaque fréquence à un instant t ? Au risque d'avoir une partie du grave qui arrive trop tôt ? Le problème est que le grave met un certain temps à s'instaurer dans une pièce. Donc si vous prenez comme point si vous délayez pour avoir le pic de grave calé sur le reste, vous aurez une partie du grave (certes atténuée) qui arrivera en avance. Là encore, il faudra trouver un compromis. Un décalage de temps de la moitié du temps "idéal" peut être un bon compromis.

  1. Pour aller plus loin.

  1. Simuler les filtres indépendamment des HP

Si vous voulez simuler quelques filtres sur des HP purement résistifs, pour votre culture personnelle, voici les fichiers CMA des HP :

Fichiers CMA de phase électrique nulle et impédance fixes (4 ou 8 ohm) de haut parleurs pour simulation de filtre pur.

  1. Chasser les résonances

Vous avez une résonance dans votre enceinte, un signal qui n’est pas pur à une fréquence assez ciblée, mais vous ne savez pas d’où ça vient ?

  • Pour savoir si c’est un effet secondaire de l’évent Bass-Reflex, bouchez-le avec de la mousse et refaites l’expérience.

  • Pour savoir si c’est dû à la vibration de parois de l’enceinte, placez un grand serre joint bien lourd pour serrer les 2 faces opposées censées vibrer et recommencez l’expérience. Vous pouvez intercaler une plaque de caoutchouc entre le serre joint et les faces à « bloquer » pour ne pas les abimer. Ou alors, utilisez un accéléromètre léger.

  • Pour savoir si c’est dû à une transmission mécanique directe du HP ou à une transmission par le biais de l’air (acoustique donc), faites la technique du serre joint pour éliminer ou pas la cause mécanique. Ne pas trop serrer tout de même.



  1. Différences de qualité des enregistreements

Lisez le fichier signal5T en qualité CD, et mesurez le signal électrique de sortie, regardez dans les aigus et faites-vous votre opinion sur les limites de la qualité CD (vous pouvez tester en qualité DVD à 48 kHz, ce n’est guère mieux).

  1. Insonorisation du mur frontal à moindre coût



Insonoriser le mur frontal sur sa demi partie supérieure donne de bons résultats à l’écoute sur l’image sonore, surtout si vos enceintes sont proches du mur frontal.




La toile tendue est là pour des raisons esthétiques, si elle est perméable au son (tissu fin et tressé de manière non serré), c’est pas mal.

ANNEXE 1



Méthode permettant de faire des mesures acoustiques SANS chambre anéchoïque et simulant un mur frontal et accessoirement des murs latéraux, le sol, le plafond et différents absorbants pour un local.



Méthode permettant de faire des mesures acoustiques / mises au point sans la nécessité de passer par une chambre anéchoïque. Le budget est presque nul (150€ pour qui sait bricoler et dispose d’une terrasse, ou d’amis ayant une terrasse, une allée goudronnée etc).



Budget très faible comparé à plusieurs dizaines de milliers d'euros pour une petite chambre anéchoïque.

Pour un peu qu’il fasse beau, votre site de mesure sera accessible dès que vous en aurez besoin, sans réservation La méthode est donc applicable aux particuliers réalisant du DIY comme aux industriels. Elle apporte de nombreux avantages par rapport à la méthode de mesure actuelle en chambre anéchoïque en permettant de simuler très efficacement toutes sortes de réalités de mise en place des enceintes chez les clients.



La méthode consiste à utiliser le ciel comme espace infini équivalent à ce que l’on cherche à reproduire avec une chambre anéchoïque, et des cloisons déplaçables pour créer l’équivalent des éventuels murs à reproduire.



La pièce (ouverte vers l’arrière) que l’on souhaite simuler :























Méthode de simulation de pièce, modulable et simplifiée :



  • La dalle (3) qui est sur le sol (7) simule le mur frontal. L’enceinte (1) est posée sur des supports minimalistes (2) pour recréer l’espacement entre le le frontal et l’enceinte.

  • Une perche (5) maintient le micro (6) à l’emplacement voulu, les oreilles de l’auditeur par exemple.

  • Des cloisons lourdes, inertes mais déplaçables (4) permettent de simuler les murs.

  • La dalle peut être une terrasse, une allée goudronnée, toute surface avec les caractéristiques de relief de surface et de réverbération recherchées. Elle peut aussi être recouverte d’absorbant acoustique et vibratoire.

  • Chaque cloison peut faire double emploi : un côté dur, et l’autre côté avec de la moquette ou tapis par exemple, sur toute la hauteur, ou pas. Selon le côté utilisé, on peut donc simuler un mur, un sol avec moquette, un tapis etc.

  • Les cloisons peuvent être déplacées à volonté, on peut en utiliser 0,1,2,3,4,5,6… pour en mettre côte à côte, selon la géométrie de pièce à simuler, les dimensions souhaitées etc.

  • Le micro peut bien sûr être lui aussi déplacé pour simuler plusieurs positions de l’auditeur, tout comme l’enceinte (les enceintes) peuvent aussi être déplacées et plus ou moins éloignées du sol.

ANNEXE 2

Pseudo-filtres passifs adaptés. Cliquer pour ouvrir dans un navigateur

ANNEXE 3



Assemblage de Bass-Trap bon marché pour en obtenir un plus grand, qui absorbe donc aussi les fréquences plus basses . Ils ne doivent pas être collés entre aux sinon les pores du Bass-Trap de droite ne communiqueront pas avec les pores de celui de gauche. Comme l’efficacité des mousses à pore ouvert joue sur les longueurs d’onde des « pièges » internes de la mousse, vous ne gagneriez rien en les colmatant.

Leur efficacité sera plus importante si vous les placez dans des angles ou dans des coins. Vous pourrez visualiser leur effet avec des mesures au micro. Gardez en tête qu’à moins d’en avoir des immenses, surtout dans une grande pièce, vous gagnerez plus difficilement des dB d’irrégularité dans le bas grave que dans le grave.



























ANNEXE 4

Corrélation des mesures entre HP « Lent » et HP « rapide ».

Mesures en champ proche





















































Pourquoi la réponse impulsionnelle est-elle plus belle sur bruit blanc ? Tout simplement parce que les fréquences qui résonnent n’ont pas le temps de s’établir jusqu’à leur niveau maximum. Et que tout est bien calé temporellement, cela va de soi.



ANNEXE 5



Signal carré sans les harmoniques inaudibles

N'essayez pas d'obtenir un signal carré parfait avec votre système (amplificateur, enceinte...), les harmoniques supérieures à 20 kHz sont inaudibles et donc inutiles. Conclusion, voici à quoi peut ressembler votre signal mesuré, tout en étant totalement fidèle. Plusieurs cas représentés: spectre d'un signal carré à 50Hz, et d'un signal carré à 500Hz, puis ce que donne un signal carré à 500Hz ou à 2KHz lorsqu'on coupe les fréquences supérieures à 20kHz. Un signal audio parfait à l'écoute, donc.



60